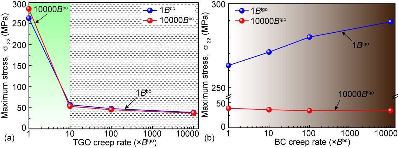
热障涂层广泛应用于陆机燃气轮机和航天发动机的高温热端部件,涂层的应用可以降低合金基底的表面温度并提高燃机的热效率,然而,严苛的服役环境下涂层的剥落往往限制了其使用寿命。等离子喷涂制备的热障涂层具有典型片层结构特征,未结合的片层界面及扁平粒子间的纵向裂纹构成复杂的裂纹网络,在热-机械载荷作用下层间界面裂纹发生扩展合并,这导致了涂层的最终剥落。在实际服役条件下,涂层内各层的热力学性能都是随温度变化的,高温下各层的蠕变行为表现明显,屈服强度也大大降低,此外,粘结层氧化也会诱发巨大的生长应力,这些材料性能的变化在服役过程中是同时发行的。然而,此前文献报道的研究基本只考虑了特定条件下的单个因素对涂层失效的影响。因此,有必要对多因素同时变化下的热障涂层内应力场的变化进行详细探究,这将为理解涂层内裂纹扩展行为及其失效提供重要的理论基础。

近日,8X8X
8X8X
焊接研究所蔡洪能课题组,建立了等温热循环条件下等离子喷涂片层结构热障涂层的有限元模型,通过用户自定义二次开发程序实现高温下合金粘结层的动态氧化过程模拟,基于大量的材料配置,全面深入地分析了不同材料参数对热障涂层内应力分布及状态的影响;该研究工作揭示了合金粘结层的高温氧化、塑性变形及蠕变行为对涂层失效的联合影响,为发展具有高抗剥落性能的长寿命热障涂层提供重要的理论指导。
上述研究成果以《循环温度载荷下等离子喷涂热障涂层内的应力状态:蠕变、塑性变形及氧化物生长的联合影响》为题发表在著名学术期刊《陶瓷国际》(Ceramics International)。8X8X
8X8X
博士生魏志远为论文的第一作者,蔡洪能教授为论文的第一通讯作者,8X8X
为论文的第一通讯作者单位,该论文从投稿到接收不到11天。该工作得到了国家自然科学基金、国家973计划项目的共同资助。论文链接://www.sciencedirect.com/science/article/pii/S0272884219317390。
此外,魏志远博士于2018年在此期刊上发表的以《基于一个新颖的裂纹扩展和氧化物生长耦合模型的热障涂层动态失效机制分析》为题研究成果被国际著名工程新闻网站ADVANCES IN ENGINEERING (AIE) 选为有显著贡献的科学论文,并予以高亮专题报道,链接://advanceseng.com/thermal-barrier-coatings-novel-crack-propagation-tgo-growth-coupling-model/。